WWG Wüllenwebergymnasium Bergneustadt  JUFO    2003



€uro, €uro Du musst wandern
Rainer Donges



K u r z f a s s u n g

Bundesland:   NRW 
Fachgebiet:  Mathematik/Informatik 
Titel der Arbeit: _Euro, Euro, Du mußt wandern ! ______________________________________

 Gruppensprecher / Einzelteilnehmer 2. Teilnehmer 3. Teilnehmer
Name: Küchler Meister Lagier
Vorname: Pascal Sascha Chris
Straße: Am Dümpel 3 Alte Str. 34 Burstenstr.23
PLZ/Ort: 51702 Bergneustadt 51702 Bergneustadt 51702 Bergneustadt
Telefon: 02763/6775 02261/45321 02261/44203
Geb.-Dat.: 21.3.89 21.1.89 13.7.89
e-mail: Pascal@kuechler-edv.com 
 

Der Euro war das Thema zu Beginn des Jahres 2002 . Wir alle bekamen Startersets 
zu Weihnachten geschenkt . Dann mussten die DM gegen Euros getauscht werden .
In den Zeitungen sprachen dann bald die einen vom Teuro-Euro , die anderen bestritten das .
Im Februar fuhren wir dann zu einem Skikurs nach Südtirol und stellten fest ,
dass alle Schüler  eifrig italienische Euro-Münzen sammelten. Als wir wieder zurück 
in die Heimat kamen, fragten wir uns, ob sich alle Reisenden ins Euroland so
verhalten wie wir und Euros verschleppen.So wurde die Idee geboren , 
in einem Jufo-Projekt die Geschwindigkeit der Durchmischung der Euromünzen zu untersuchen.
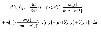
Von Professor Stoyan von der TU Freiberg erhielten wir Anregungen für ein
mathematisches Modell . Eine typische Formel sieht etwa so aus :

 Mit Hilfe von Delphi 5 setzten wir dann die Formeln in ein Computerprogramm um . 
Es ergaben sich Diagramme wie dieses:


 

Chris Lagier  (8a) + Pascal Küchler (8a) +  Sascha  Meister (8a)
Sonderpreis für Software und Systemtechnik 
(dotiert mit € 70.-)
 http://www.wwg2003.de  + http://www.wwg2000.de 
 Idee  &  Design  Copyright © Rainer Donges 2003 + Hilli